第十五次中国物流学术年会城市物流发展专题分论坛于2016年11月27日在安徽芜湖顺利召开,广东白云学院管理学院副院长王术峰教授担任分论坛主持人,广东工业大学商务管理系主任李松庆教授等4名专家与企业代表作了演讲,主要内容如下。

演讲1:《我国城市物流发展的现状、问题和策略》 广东工业大学商务管理系主任 李松庆
(一)发展背景
2015年我国城镇化率56.1%,城镇常住人口7.7亿,城市653个。《关于深入推进新型城镇化建设的若干意见》提出,到2020年户籍人口城镇化率要达到45%,常住人口城镇化率60%左右。
随着城市规模扩大、产业密度与人口密度提高,城市物流规模与密度也越来越大,城市物流的组织与管理显得越来越重要,也越来越复杂。
城市物流已成为城市规划和管理需考虑的重要内容,是城市功能得以发挥的关键支撑,对提高城市竞争力具有重要意义。城市物流得到广泛关注,城市物流配送难题成为关注热点。
(二)相关政策
《国家发展改革委关于做好现代物流创新发展城市试点工作的通知》(发改经贸[2016]1104号),加强顶层设计统领城市物流发展,形成与国家战略相契合、与城市总体战略相融合的城市物流发展战略。
《国务院办公厅关于转发国家发展改革委营造良好市场环境推动交通物流融合发展实施方案的通知》(国办发〔2016〕43号),加快建设城市公用型配送节点和末端配送点,优化城市配送网络。
《国务院关于促进快递业发展的若干意见》(国发〔2015〕61号),规范快递车辆管理,逐步统一标志,对快递专用车辆城市通行和临时停靠作业提供便利,解决“最后一公里”通行难问题。
……
(三)存在问题
但是,李松庆教授同时也指出当前城市物流发展存在着诸多问题,主要体现在一下几方面:
(1)管理理念偏差
重人流、客流,轻货流,一些城市出台了不利于城市物流发展的政策。如城市实行的货车限行政策日趋严厉,限制通行区域不断扩大,限行时间更长,城市物流配送车辆通行更显艰难。由此导致“最后一公里”“三难两多”:通行难、停靠难、装卸难,收费多、罚款多。
(2)组织化程度低,自营配送、多头配送仍占主导地位
目前城市的绝大部分商场(或市场)仍采用自营物流和供货商物流的方式。
(3)缺乏城市物流基础设施
随着城市改建和扩建,城市内部原有的许多仓储设施被拆除,物流设施离城市中心区域越来越远,取而代之的是大量的商业设施、住宅,城市内部的物流设施越来越少。
城市配送缺乏停靠装卸作业配套设施,通行受到诸多限制。
(4)城市物流配送技术低
组织技术低,功能单一,被动服务,赢利模式单一;增值服务少、配送空载率高。
(5)城市物流信息化水平低
企业物流信息化程度较低。公共物流信息平台规划的多,建成的少,已有的公共物流信息平台还没有发挥其应有的作用。
(四)解决措施
根据现存的问题,李松庆教授总结了5点城市物流发展问题的解决措施:
(1)城市管理者转变观念,坚持物流先行与公交先行并举,寻求人流与物流平衡的交通管理途径。
(2)推动城市物流模式创新,完善城市共同配送节点规划布局, 加强共同配送比例,提高统一配送水平。
(3)加强城市物流基础设施建设,尤其是城市内部物流基础设施。
(4)提高物流配送技术,如用标准托盘和集装单元,实行物流全过程标准化管理。
(5)提高城市物流信息化水平。
演讲2:《城市物流与区域物流》 广东白云学院管理学院副院长 王术峰
(一)城市物流发展现状
目前,由于长期以来存在“制造业重生产轻流通、流通业重商流轻物流”的现状,使我国物流尤其是城市物流存在着明显的不协调状况,成为城市经济社会发展的制约因素。主要表现在如下几个方面:
1.城市物流管理体制的"条块分割"。把物流运作的活动过程人为地分割,归属不同部门管理,影响了城市物流的合理化、效率化、一体化。
2.城市物流基础设施落后。运输能力与货运量的增长很不适应,严重影响了物流效率。商品采购、调拨不合理,造成了迂回、倒流和交叉运输,增加了流通环节,增大了物流费用。
3.城市物流运输缺乏统一组织管理。重复运输、单程运输引起交通混乱,车辆拥堵现象比较严重。
4.城市物流存在着严重的人、物混流现象。城市的物流系统存在于城市的人居环境之中,物流环境与人居环境混杂在一起。带来的直接后果,一是影响效率,人和物的实体流动共同使用一个平台,争夺物流资源;二是容易出现混乱,容易造成交通混乱和交通阻塞,会影响人们的生活和工作,扰乱正常的城市秩序;三是恶化生存环境,人需要良好的生存环境,而物流又是对环境造成严重影响的重要源头,物流会破坏人居环境。
(二)城市物流、区域物流、轴幅式网络的内涵
(1)城市物流
城市物流是指城市及城市间的物流,物品在城市内部的实体流动,城市与城市间外部区域的货物集散以及城市废弃物处理的过程;是指为城市服务的物流,以城市为主体,服务于城市经济社会的需要,围绕城市的需求提供服务的物流活动。
城市物流,专注于一个服务领域(“最后一公里物流配送”),侧重于两个服务对象(为企业服务、为居民服务),构建起三个经营模式(营销网络模式、业务运营模式、服务体系模式)。主要配送模式,包括集中配送、共同配送等。
(2)区域物流
区域物流(Regional Logistics),是指全面支撑区域可持续发展总体目标而建立的适应区域环境特征、提供区域物流功能、满足区域经济、政治、军事等发展需要,具有合理空间结构和服务规模,实现有效组织与管理的物流活动体系。
(3)轴幅式网络
轴辐式网络(Hub-and-Spoke Network),是一种以枢纽为轴节点,以其他节点为辐节点形成的空间网络系统。直接处理货物收发需求的辐节点构成辐集合;枢纽集合称为轴集合。货物在节点间流动形成链路。枢纽之间的链路,称为干线链路,所有的干线链路构成干线网络;轴到辐、辐到轴的链路,称为支线链路,所有的支线链路构成支线网络。
(三)城市物流与区域物流的关系
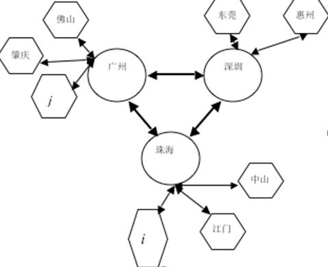
环珠江三角洲经济区(简称“环珠三角”),是指珠江三角洲广州、佛山、肇庆、深圳、东莞、惠州、珠海、中山、江门九市所辖经济区域,辐射周边的清远、云浮、汕尾、河源、阳江五市所辖经济区域以及香港、澳门所辖经济区域(9+5+2)。环珠三角区域范围包括珠江口流域、珠江东岸流域、珠江西岸流域及经济辐射周边地区,主要由“广佛肇+清远、云浮”、“港深莞惠+汕尾、河源”、“澳珠中江+阳江”三个经济圈组成。
根据环珠三角区域物流发展现状,通过城市物流与区域物流的关系分析,提出环珠三角区域物流体系的构建设想。

(1)环珠三角区域物流发展现状
环珠三角区域物流体系发展虽然一直强调城市间的功能错位,但分析区域物流资源禀赋发现,由于各地追求经济发展目标,纷纷加大港口设施建设,地区间物流产业呈现出竞争局面。
①区域政策和体制不匹配
②区域物流规划呈现离散性
③区域重大交通设施缺乏有效衔接
④区域通关信息缺乏共享机制
(2)环珠三角区域物流网络构建思路
构建环珠三角区域物流轴辐式网络。轴辐式物流网络,通过枢纽节点将网络中的运输流集中到枢纽间的干线运输线路上,以实现规模运输和范围经济效应,从而降低物流总成本。网络构建思路,轴节点包括广州、深圳、珠海、香港、澳门;辐节点包括佛山、肇庆、东莞、惠州、中山、江门。

(四)思考与建议
①物流规划。大力发展城市物流、区域物流,发展战略规划是关键。
②找准定位。纳入环珠三角区域物流体系,明确自己城市的定位,包括物流枢纽、分拨中心、物流基地、物流服务站;明确自己企业的定位,是做行业引领者,还是采取跟随战略。
③整合资源。注重对现有物流资源的整合利用,按照广佛肇、深莞惠港、珠中江澳三个城市集群,实行纵向一体化、横向一体化整合。
④商业模式。不断提升区域物流效率,建设一批第五方物流服务商企业,提供供应链系统集成、服务链流程优化、运作链环节连通、价值链资源协同的第五方物流服务。
⑤运营模式。一是要加强政策支持与引导;二是加快配送现代物流基础设施建设,与城市土地、商业等相关规划有序衔接;三是为经营性企业提供一个市场化的经营机制;四是推进共同配送现代物流信息化、网络化、平台化与标准化建设。
⑥服务模式。在城市及城市间范围内,通过提供商流、物流、资金流、单证流、信息流的“五流合一”服务模式,将城市物品定时、定点、定量配送到各类客户,为众多客户提供个性化、多样化综合物流配送服务。
演讲3:《城市物流服务模式创新与实践——以广州城市通物流科技股份有限公司为例》 广州城市通物流科技股份有限公司董事长 夏国志
(一)公司简介
广州城市通物流科技股份有限公司,于2016年3月在中国(广东)自贸区南沙注册成立,联合东风汽车、庆铃汽车、依维柯汽车、中集融资租赁、中铁物流、工商银行、柳州银行等战略合作伙伴,经历了三年多的市场调研和经营模式的方案设计。
(二)运营模式
①建设3级城市物流运作架构,即物流枢纽、分拨中心、物流基地。
②自有车辆为骨干的运输组织保障,7×24小时的全天候全时空服务。
③金融导入业务模式,帮助客户完善物流金融服务,促进双方物流合作更加牢固。
④商贸物流产品。
(三)配送时效

(四)业务范围
物流基地为公司的业务核心、城市配送业务、铁路运输对接服务、航空运输对接服务、公路干线运输对接服务、仓储业务、专业项目业务、个人订单业务、商服业务、中介业务、广告业务、增值服务。
(五)公司优势

(六)发展目标
建立以城市物流为核心,以“系统化运作、集约化组织、专业化服务、信息化配套”为目的,促进城市物流与城市发展相适应、相协调的高效、智能、“低碳”、可持续发展的城市物流新体系。
近期目标:建设广州城市物流大格局。

中期目标:建设珠三角城市群物流模式。

演讲4:《基于多代理模型的城市配送车辆限行政策评价与仿真》 长安大学经济与管理学院 李继东
城市配送对于提升城市经济社会运行质量具有显著贡献,但同时也会带来交通拥堵等负面影响,城市交通管理部门通常会采取配送车辆限行等方式减少城市配送产生的影响。由于车辆限行政策涉及范围广,利益相关者多,因此需要科学合理的方法对政策进行分析评价。
李继东博士在总结现有的政策评价方法后指出,现有方法在指标选取、问题界定等方面仍存在不足。因此,李继东博士介绍了一种新型的基于多代理模型的城市配送车辆限行政策评价方法,该方法是在分析利益相关者的目标与行为、抽象利益代理等的基础上进行模型评价。该方法具有可以全过程评价,可以定量分析,可以分析因果及综合考虑各利益相关者,全面考察政策的影响等优势。其具体建模过程和模型框架如下。



在此基础上,李继东博士设定了某城市区域中的道路状况、区域内客户、区域限行政策、污染排放等情况并进行了情景模拟。根据模拟结果,李继东博士总结了以下几点内容:
(1)多代理模型能够直观反应出限行政策对利益相关者的行为和利益的影响,验证了模型的适用性;
(2)区域限行政策和路段限行政策均能够降低城市配送带来的污染物排放,但却会增加配送成本和延误间;
(3)限行政策通常会带来配送活动中固定成本和时间成本的上升,对变动成本影响小;
(4)与区域限行政策相比路段限行政策能带来更好的污染物控制效果,并且对配送成本和延误时间影响小。
